广告:时间还剩10
 
免费订阅一年期杂志
天线 解决方案 信号分析
技术文章
 
无增益折衷的CMOS LNA输入匹配网络
录入时间:2012-9-17 17:27:41

如今,大多数无线接收器通常都需要有高增益的LNA。作为接收器链中的第一个有源组件(active block),LNA应该提供足够的增益,以克服后续级带来的噪声,并尽可能减少噪声。然而,在一些如IEEE 802.15.4的无线标准中,LNA的噪声系数(NF)不是一个关键的性能参数1,2。NF要求可以适当放宽,以优化其他设计参数,如增益、功耗和芯片面积。在这篇文章中提出的LNA是专门为IEEE 802.15.4标准设计的。

流行的LNA拓扑结构是源极电感负反馈(inductive source-degeneration)共源LNA(LCSLNA)、共栅LNA(CGLNA)和电阻反馈LNA(RFLNA)。由于其方便的输入匹配、高增益和低噪声,L-CSLNA通常是超低功耗窄带应用的首选3-6。但是,其增益性能会受到输入匹配条件的限制。在L-CSLNA的高增益和良好的输入匹配之间存在一个折衷问题。在这篇文章中,提出的LNA的输入匹配是通过一个电容反馈方案和一个Л匹配网络实现的。相比L-CSLNA,电容反馈有助于减少输入匹配所需的电感数目。此外,利用Л匹配网络可实现较高的增益和更大的设计自由度。Chung和Shahroury实现了利用电容反馈进行输入匹配的概念7。不过,所使用的LNA采用的是非级联结构。为了实现高反向隔离,它利用了一个多级结构,这导致了非常高的功耗。提出的LNA采用单级级联结构,给出了输入匹配、增益和NF的详细分析。LNA是采用IBM 0.13μm RF CMOS技术实现的。

源极电感负反馈共源LNA

输入阻抗分析的L-CSLNA原理图及其等效小信号电路如图1所示。CY包括节点Y的所有寄生电容,可以近似为:

 

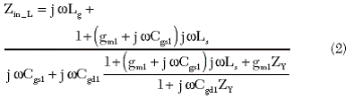
RY是来自节点Y的M2源的总阻抗,在此电路中,RY可近似为1/gm2,此处的gm2是晶体管M2的跨导。推导出的L-CSLNA的输入阻抗是:

 

其中是工作频率,Cgs1和Cgd1是寄生栅源和栅漏电容,gm1是晶体管M1的跨导。当 时,Zin_L可以简化为:

 

这与经典结果是一致的。在谐振频率,输入阻抗Rin_L等于gm1Ls/Cgs1和晶体管gm1的跨导,可有效地提高Geff_Lgm1,其中Geff_L是:

 

0是谐振频率。在输入匹配条件下这个LNA的噪声系数是:

 

在方程5中,RLg是电感Lg的寄生串联电阻,Rg是晶体管M1的栅极电阻, 和 分别是晶体管M1和M2的漏电流噪声, 是输入源电压噪声。大gm1和小Cgs1是实现高增益和低噪声所必需的4,5。由于输入匹配条件,Ls的值通常相当小。小Ls的要求有时会成为LNA设计的一个困扰,因为不是所有的电感值都适用于工艺设计套件(PDK)。

提出的具有匹配网络的电容反馈CSLNA

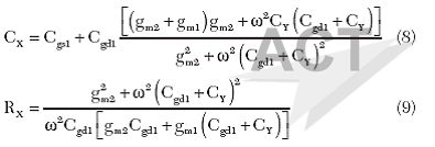
Cheng7介绍的LNA使用了输入器件的寄生栅漏电容和输出电容CL,以形成电容反馈匹配网络。只有一个电感用来实现输入匹配。不过,该分析只适用于非级联结构。对于CS拓扑结构,要有高反向隔离和良好的稳定性,级联是首选的结构。在这里,介绍了级联结构的分析。其原理如图2所示。基于小信号电路(b),级联电容反馈LNA的输入网络可以转换为一个包括Lg、Cf和Rf的串联RLC匹配网络。Cf和Rf的值可以推导得出:

 

 

Cx和Rx可以按以下方程计算

 

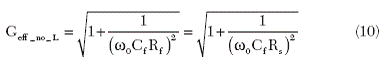
为了实现输入匹配,Rf的设计等于Rs。此输入匹配网络的有效增益是:

LNA在输入条件观看到的噪声系数可以推导得出:

 

L-CSLNA相比,电容反馈LNA需要的输入匹配电感数量较少。但这样做的好处伴随着较高NF的折衷问题,这可以从方程5和11观察到。从方程4和10看到,以上讨论的两个LNA的输入网络的有效增益受到了50 Ω匹配条件的限制。为了实现良好的输入匹配,Rf和(gm1Ls/Cgs1)必须匹配到50 Ω。这将限制Geff_L和Geff_no_L的选择,因此限制了这两个LNA可实现的增益。在这两个LNA中存在着高增益和良好的输入匹配之间折衷的问题。

提出的LNA增加了一个并联电容器Cg,如图3所示前述的栅极电感创建了一个Л匹配网络。它显示了用于提出的LNA(b)的输入阻抗计算的小信号电路。如上所述,Rf和Cf是由电容反馈机制形成的。电感Lg可分为两个较小的部分:L1和Lf。这两个电感与Cg和Cf谐振。共振频率的输入阻抗为:

 

提出的输入匹配网络的有效增益是:

 

 

方程13显示,提出的LNA的有效增益可以通过减小Rf值来增加,而不像电容反馈LNA和L-CSLNA,其有效增益受到50 Ω匹配条件的限制。当减小Rf时,根据方程12,LNA的输入阻抗可以通过减小L1匹配到50 Ω。电容Cg和电感L1为LNA设计增加了额外的自由度。

 

有效增益不再受到输入匹配条件的限制。因此,提出的LNA将能够实现比L-CSLNA和电容反馈LNA高得多的增益。图4显示了在同样功耗水平和输出负载条件下,提出的LNA和L-CSLNA的S21和S11的响应情况。在要测试的频率下,两个LNA的设计具有相同的输入匹配。提出的LNA显示了更好的增益性能。LNA的增益为3 dB,高于L-CSLNA。带宽(BW)随着匹配网络的有效增益而增加。但是,如下所示,这个仿真中的LNA的带宽对所需标准来说仍然足够大。提出的LNA的噪声系数是:

 

方程11相比,由于Л网络的缘故,RLg的噪声贡献增加了。不过,当LNA设计的Geff_高于Geff_no_L时,来自 的噪声贡献可以减少。因此,它可以弥补由RLg造成的损耗。此外,当Geff_增加时,级联级的噪声贡献也会减少。对于频率f0条件下的窄带LNA,设计步骤总结如下。

 

为实现最好的晶体管性能,要采用最小的通道长度。

 

为了实现高增益和低噪声,Rf的值要设计得尽可能小。不过,正如上面所讨论的,所需应用的带宽必须保持足够。此外,当Rf下降时,所需的L1减小,但所需的Cg增加。由于Cg的负极板直接连接到地,其值应该不会太大。

 

Cg和L1的值来自于方程12。

 

根据所需的增益和可用芯片面积确定Lf的值。Lf越大,得到的增益越高。在f0,Cf与Lf谐振。

 

鉴于特定漏电流和所需的Rf和Cf值,可根据方程6-9设计晶体管的尺寸和偏置。

 

为了验证这一理论,采用IBM的0.13 μm RF CMOS技术设计和制作了一个LNA。其原理如图3(a)所示。所有电感器均在片上。在要测试频率,电感LL将与晶体管M2的漏极节点的总电容产生谐振。电感Lg和电容Cg的设计可以满足匹配条件。该LNA的第二级是输出缓冲区。输出缓冲区的目的是要将输出端口匹配在测设备的50 负载。缓冲区的负载效应与LNA级的混频器加载效果大致相同。

测量结果

LNA的芯片显微照片如5所示。总面积包括输出缓冲区0.74×0.84 mm的焊盘(pad)。图6显示了提出的LNA的电压增益、S11和S22。还制作了一个与提出的LNA相同功耗水平和输出负载条件的L-CSLNA。在2.4 GHz时LNA的电压增益为21.5 dB,而L-CSLNA的电压增益为18.8 dB。测得的LNA的增益是2.7 dB,高于L-CSLNA。提出的LNA具有良好的输入和输出匹配。在2.4 GHz条件下,S11的值是12 dB,S22的值是-16 dB。如图7所示,相应的NF为4.9 dB。实测的NF超过了仿真的NF,达1 dB。这个大的差异归因于恶劣的噪声建模和工艺变化。IEEE.802.15.4接收器可以容许LNA和混频器的噪声系数为11.2或10.5 dB1。如果我们的LNA用在接收器前端,就需要一个NF小于19.8 dB的混频器。这样一个宽松的NF要求用目前的CMOS混频器设计不难实现。LNA的IIP3为-12 dBm。核心LNA从1 V电源电压汲取(draw)0.6 mA。总功耗仅为0.6 mW。

这个LNA与文献中公布结果的比较列于表1。虽然几个LNA11-14 都有较好的NF,但比提出的LNA消耗的功率更多。此外,这种低NF对应用是没有必要的1,与提出的LNA相比性能相当类似。不过,该LNA采用了一个大电阻负载来实现高增益。因此,它不能在1 V的低电源电压下操作。部分LNA13,14 显示了增益和线性度之间的折衷。它们的IIP3较高,但功耗要高得多,增益比提出的LNA低得多。根据表1计算的FOM,该LNA具有最好的FOM1和可接受FOM2。

结论

本文提出了一个新的输入匹配拓扑结构,无需对CSLNA增益进行折衷。输入网络使用电容反馈和网络实现。基于这种方法,CSLNA能够实现更高的增益,同时保持良好的输入匹配和低功耗。本文解释了LNA的设计和制作的设计方法。与L-CSLNA相比,淘汰了源电感Ls,并获得了较高的增益。提出的LNA仅消耗0.6 mW,同时提供了非常高的增益、良好的输入匹配和适中的NF。

参考文献

1. A.V. Do, C.C. Boon, M.A. Do, K.S. Yeo和A. Cabuk, “为ISM频段超低功耗应用优化的亚阈值低噪声放大器”,IEEE Transactions on Microwave Theory and Techniques, Vol. 56, No. 2, February 2008, pp. 286-292. 

2. A.V. Do, C.C. Boon, M.A. Do, K.S. Yeo和A. Cabuk, “用于低功耗2.4 GHz应用的能量管控CMOS接收器前端”,IEEE Transactions on Circuits and Systems I: Regular Papers, Vol. 57, No. 10, October 2010, pp. 2675-2684.

3. A. Meaamar, C.C. Boon, K.S. Yeo和M.A. Do, “宽带CMOS工艺的低功耗低噪声放大器”,IEEE Transactions on Circuits and Systems-I, Vol. 57, No. 4, JUNE 2010, pp. 773-782 

4. A. Meaamar, C.C. Boon, M.A. Do和K.S. Yeo, “3至8 GHz低噪声CMOS放大器”,IEEE Microwave and Wireless Components Letters, Vol. 19, No. 4, April 2009, pp. 245-247.

5. T.H. Lee, CMOS射频集成电路的设计,Cambridge University Press, 1998, Cambridge, U.K.

6. Y.P. Zhang, K.W. Chew和P.F. Wong, “并发双频接收器全集成CMOS低噪声放大器的分析和设计”,International Journal of RF and Microwave Computer- Aided Engineering, Vol. 16, No. 5, May 2006, pp. 444-453.

7. Y.W. Chung和F.R. Shahroury, “利用电容反馈匹配网络技术设计低电压CMOS LNA”,2006 IEEE International Conference on Electronics, Circuits and Systems Digest, pp. 78-81 

8. H. Lee和S. Mohammadi, “3 GHz亚阈值CMOS低噪声放大器”,Proceedings of the 2006 Radio Frequency Integrated Circuits (RFIC) Symposium.

9. H.H. Hsieh和L.H. Lu, “CMOS 5 GHz微功率LNA”,Proceedings of the 2005 Radio Frequency Integrated Circuits (RFIC) Symposium Digest, pp. 31-34.

10. D. Wu, R. Huang, W. Wong和Y. Wang, “采用正向衬底偏置技术的5 GHz应用0.4V低噪声放大器”,IEEE Microwave and Wireless Components Letters, Vol. 17, No.7, July 2007, pp. 543-545.

11. H.S. Jhon, H. Jung, J. Jeon, M. Koo, B.G. Park, J.D. Lee和H. Shin, “用于2.4 GHzISM频段收发器的小尺寸高效低噪声放大器”,Microwave and Optical Technology Letters, Vol. 51, No. 10, October 2009, pp. 2304-2308.

12. S. Mou, J.G. Ma, K.S. Yeo和M.A. Do, “一种用于CMOS低噪声放大器输入匹配的改进架构”,IEEE Transactions on Circuits and Systems II: Express Briefs, Vol. 52, No. 11, November 2005, pp. 784-788.

13. W.C. Cheng, M.G. Jian, K.S. Yeo和M.A. Do,“一种用于2.1/2.4 GHz应用的完全集成的可开关晶体管CMOS LNA设计”,2006 European Microwave Integrated Circuits Conference Digest, pp. 133-136.

14. L.H. Lu, H.H. Hsieh和Y.S. Wang, “一种紧凑型2.4/5.2 GHz双频段CMOS低噪声放大器”,IEEE Microwave and Wireless Components Letters, Vol. 15, No. 10, October 2005, pp. 685-687.

15. T.T.N. Tran, C.C. Boon, M.A. Do和K.S. Yeo, “超低功耗串行输入谐振差分共栅极LNA”,IET Electronic Letters, Vol. 47, No. 12, (2011), pp. 703-704.

Thi Thu Nga Tran2008年获得新加坡南洋理工大学(NTU)电子工程(荣誉)学士学位。目前,她正在新加坡NTU攻读博士学位。她的研究兴趣包括超低功率RF前端IC设计和高速应用混合信号电路。

Chirn Chye Boon2000年和2004年分别获得了新加坡南洋理工大学(NTU)的工程(荣誉)学士学位和电子工程博士学位。2005年,他加入了NTU担任研究员,并在同年成为助理教授。在此之前,他是Advanced RFIC高级工程师。他专攻生物医学和通信应用领域的无线电频率及毫米波电路和系统设计。

Manh Anh Do1973年和1977年分别获得了新西兰基督城坎特伯雷大学工程(荣誉)学位和电气工程博士学位。1977年和1989年之间,他担任过各种职务,包括新西兰的设计工程师、生产经理、科研人员,以及新加坡国立大学高级讲师。1989年,他加入了新加坡南洋理工大学(NTU)电气与电子工程学院,担任高级讲师,并在1996年和2001年分别晋升为助理教授和教授。1995年和2005年间,他是NTU电路与系统部门的负责人。从2007至2010年,他担任集成电路与系统中心主任。他目前是NTU研究理事会的成员。他目前的研究兴趣包括移动通信、RFIC设计和混合信号电路。

Kiat Seng Yeo1993年和1996年分别获得了新加坡南洋理工大学电子工程(荣誉)学士学位和电子工程博士学位。他的学术生涯始于1996年担任的讲师,并在1999年晋升为助理教授,后于2002年晋升为副教授。2001至2005年他担任副院长(学生事务)。他是新加坡微电子集成电路设计与系统协会成员,华侨国际学校科学研究与人才开发中心咨询委员会成员和IC设计领域法定机构和跨国公司顾问。


上一篇:利用等温线选择PA端接阻抗 下一篇:RFMD公司GaN(Galliu...

版权声明:
《南宫国际28官网 》网站的一切内容及解释权皆归《南宫国际28官网 》杂志社版权所有, 未经书面同意不得转载,违者必究!
《南宫国际28官网 》杂志社。


友情链接
  首页 | 关于我们 | 联络我们 | 加入我们 | 服务条款 | 隐私声明
Copyright© 2026: ; All Rights Reserved.
粤公网安备 44030402004704号    备案序号:粤ICP备12025165号-4
Baidu
map