广告:时间还剩10
 
免费订阅一年期杂志
天线 解决方案 信号分析
技术文章
 
RF揭秘:散射参数及其类型
录入时间:2022/9/20 16:56:52

作者:ADI现场应用工程师Anton Patyuchenko

基本定义

S参数量化了RF能量是如何通过系统传播的,因而包含有关其基本特征的信息。使用S参数可以将最复杂的RF器件表示为简单的N端口网络。图1显示了一个双端口未平衡网络的例子,该网络可用于表示许多标准RF元件,例如RF放大器、滤波器或衰减器等。

1. 双端口未平衡RF网络

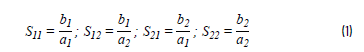
示意图图1显示的波量a是入射在器件端口1和端口2上的电压波的复数幅度。如果使用相应的波量a1或a2依次激励一个端口,同时另一个端口端接到匹配的负载中,我们就可以根据波量b来定义器件的正向和反向响应。这些数量代表了从网络端口反射和通过网络端口透射的电压波。基于所得复数响应和初始激励量的比率,我们可以定义双端口器件的S参数,如式1所示:

然后,可以将S参数组成一个散射矩阵(S-Matrix)来反映其所有端口的复数波量之间的关系,由此表示该网络的内在响应。对于双端口未平衡网络,激励-响应关系的形式如式2所示:

对于任意N端口RF器件,可以类似方式定义S矩阵。

S参数的类型

如果没有明确说明,则“S参数”一词通常是指小信号S参数。它表示RF网络对小信号激励的响应,量化了线性工作模式下不同频率的反射和透射特性。使用小信号S参数,可以确定基本RF特性,包括电压驻波比(VSWR)、回波损耗、插入损耗或给定频率的增益。

然而,如果不断增加通过RF器件的信号的功率水平,通常会导致更明显的非线性效应。这些效应可以利用另一种类型的散射参数——即大信号S参数——来量化。它们不仅会随着频率不同而变化,而且也会随着激励信号的功率水平不同而变化。此类散射参数可用于确定器件的非线性特性,例如压缩参数。

小信号和大信号S参数通常均利用连续波(CW)激励信号并应用窄带响应检测来测量。但是,许多RF器件被设计为使用脉冲信号工作,这些信号具有宽频域响应。这使得利用标准窄带检测方法精确表征RF器件具有挑战性。因此,对于脉冲模式下的器件表征,通常使用所谓的脉冲S参数。这些散射参数是通过特殊的脉冲响应测量技术获得的。

还有一类平时很少谈论但有时可能变得很重要的S参数,那就是冷模式S参数。“冷模式”一词是指有源器件在非活动模式(即其所有有源元件都不工作,例如晶体管结反向或零偏置且无传输电流流动)下获取的散射参数。此类S参数可用于改善带关断状态元件的信号链分段的匹配,这些元件会在信号路径中引起高反射。

到目前为止,为单端器件的典型示例定义了S参数,其中激励和响应信号均以地为基准。但是,对于具有差分端口的平衡器件,此定义还不够。平衡网络需要更广泛的表征方法,它必须能够充分描述其差分模式和共模响应。这可以利用混合模式S参数来实现。图2显示了混合模式散射参数的一个例子,这些参数组成一个扩展S矩阵,代表一个典型的双端口平衡器件。

2. 双端口平衡RF网络及其混合模式散射矩阵

此矩阵中的混合模式S参数的下标使用如下命名约定:b模式、a模式、b端口和a端口,前两个描述响应端口的模式(b模式)和激励端口的模式(a模式),后两个指定这些端口的索引号,b端口对应响应端口,a端口对应激励端口。在示例中,端口模式由下标定义,d表示差分模式,c表示共模模式。但是,在同时具有平衡端口和未平衡端口的更一般情况下,混合模式S矩阵还会有其他元素,下标s描述针对单端端口获得的量。利用混合模式散射参数,不仅可以确定RF器件的基本参数,例如回报损耗或增益,还可以确定用于表征差分电路性能的关键品质因数,例如共模抑制比(CMRR)、幅度不平衡和相位不平衡程度。

结论

本文介绍了散射参数的基本定义,并简要讨论了其主要类型。S参数可用于描述RF器件在不同频率下和对于信号的不同功率水平的基本特性。RF应用的开发高度依赖于描述RF设计的整体结构和组成部分的S参数数据。RF工程师测量或依赖已经存在的S参数数据,该数据通常存储在称为Touchstone或SNP文件的标准文本文件中。当今市场上的大部分常用RF器件都有这种免费提供的文件。

ADI公司提供丰富的集成RF器件组合,它们能够满足广泛应用中的各种严苛要求。为了支持RF工程师并简化目标应用的开发过程,ADI公司围绕RF技术提供完整的生态系统,包括各种RF产品的散射参数、设计工具、仿真模型、参考设计、快速原型制作平台和论坛。


上一篇:氮化镓射频开关在高功率射频设计中... 下一篇:当设计物理层调制解调器时,如何满...

版权声明:
《南宫国际28官网 》网站的一切内容及解释权皆归《南宫国际28官网 》杂志社版权所有, 未经书面同意不得转载,违者必究!
《南宫国际28官网 》杂志社。


友情链接
  首页 | 关于我们 | 联络我们 | 加入我们 | 服务条款 | 隐私声明
Copyright© 2025: ; All Rights Reserved.
粤公网安备 44030402004704号    备案序号:粤ICP备12025165号-4
Baidu
map