广告:时间还剩10
 
免费订阅一年期杂志
天线 解决方案 信号分析
技术文章
 
采用连续F类工作模式的宽带高效率功率放大器设计
材料来源:《南宫国际28官网 》2017年7/8月刊           录入时间:2017/8/11 15:12:54

采用连续F类工作模式的宽带高效率功率放大器设计

Broadband High Efficiency Power Amplifier Design Using Continuous Class F Mode

赵资阳、唐宗熙、Yunqiu Wu、Biao Zhang,电子科技大学,成都

通过分别实现谐波调谐和基波匹配,一种新颖的宽带高效功率放大器(BHPA)的设计方法简化了宽带输出匹配网络的设计过程。首先基于连续F类工作模式理论计算出二次和三次谐波的负载阻抗。然后通过使用不受相邻主要匹配电路影响的微带径向短截线(MRS)得到一种新颖的宽带谐波抑制网络。用一个10Wolfspeed氮化镓HEMT器件设计的功率放大器(PA)实现了1.952.65GHz30.4%的相对带宽、60.9%81.6%的漏极效率(DE)、60%79.9%的功率附加效率(PAE),在工作频带输出功率为39.741.7dBm。设计过程,仿真和测量结果表明,这种方法使得谐波负载网络的设计更容易和更准确,特别是在较高频率下现有方法难以同时控制基波和谐波阻抗。该方法可广泛应用于现代无线通信系统的BHPA设计。

除了线性度之外,如今PA中的重点考虑是在宽带内提高输出功率和效率,以满足诸如GSM、WCDMA、WIMAX和LTE等各种无线标准中通信网络扩展和数据速率增加的需求。目前考虑的PA模式中,开关模式PA(SWPA)由于其输出高功率和高转换效率,吸引了很多的关注。SWPA中的F类工作模式在有源器件的输出端实现了高效率的非重叠方波电压和半正弦漏极电流波形。靠这种简单的方式,F类工作模式PA已经成为被引用最多的一种。1-3

实际上,有限谐波(通常为二次和三次谐波)由四分之一波长传输线谐振器控制,以趋近适当的谐波负载阻抗。然而这种方法不可避免地导致了具有高Q因子的输出匹配网络。因此难以克服F类放大器固有的窄带特性(通常小于10%),并限制了其在宽带方面的应用潜力。一些前沿的研究4-6提供了几种拓展F类工作模式PA带宽的好方法,但是其局限性只能得到部分改善。

从J类功放,即连续F类7,得到的一种扩展功放工作模式在宽带上表现出很高的效率优势。连续F类模式放大器可以通过电压和电流的各种组合实现由F类提供的高输出功率和高效率。只有电流波形需要固定,电压波形不仅可以是方波,而且可以是一系列波形的合成。

输出匹配阻抗通常考虑到前三次谐波。三次谐波保持在开路状态,二次谐波沿着阻抗史密斯圆图上的R=0的圆运行,而基波阻抗在阻抗圆图上沿相反的方向运动。与理想情况相比,在不同频点的漏极电容和跳线电感等寄生参数情况也不同。实际上,连续F类工作模式为宽频带最优基波和谐波阻抗匹配提供了一系列的解决方案。

本设计采用了一种新架构,旨在解决困难谐波控制问题(高达三次谐波)。在输出网络中MRS用于获得精确的谐波阻抗,而阶梯式阻抗变换器实现了基础阻抗。

理论

在F类工作模式PA中,漏极电压和电流分别通过短路偶次谐波和开路奇次谐波形成非重叠矩形波和半正弦波。通常在实际设计中仅考虑二次和三次谐波控制,因为考虑到更高次谐波时付出更高电路复杂度只能小幅提高效率。具有90.7%效率8的相应归一化,最优漏极电压波形表示为:

     (1)

上述等式表示必须在器件的电流源参考面精确调谐的电压波形;因此F类功放通常在单个频率下实现最大功率和效率。在工作频带外其效率会很快降低。

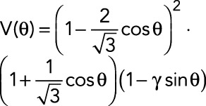
连续F类工作模式提供一系列等式和波形,以克服F类带宽限制。通过在电压波形中引入变量参数γ得到可以提高功率和效率的波形。其调制的电压波形可以描述为:

        (2)

γ=0的电压波形形成标准F类工作模式。通过参数γ在-1≤γ≤1的范围内变化,进而改变标准的F类漏极电压波形,连续F类工作模式可以保持其相对部分,即F类,的性能。这得到一系列电压波形的解决方案。这样相应的最大归一化漏极电压幅度从2增加到3.37(图1),通过利用氮化镓器件技术来实现。可见当γ=0时,波形对应F类。

 

1:连续F类电压和电流波形。

实际上,谐波阻抗必须由下式计算:

      (3)

其中n表示谐波分量的阶数。Ropt被定义为标准B类模式的最佳阻抗,如:

    (4)

Vdc是漏极偏置电压,Vknee是晶体管的拐点电压,Imax是最大漏极静态电流。连续F类功放的漏极电流波形与基于傅里叶级数展开式的F类功放的漏极电流波形相同,其定义如下:

       (5)

相应的阻抗由等式2、4、5和下式确定。

        (6)

-1≤γ≤1的阻抗特性曲线如图2所示。三次谐波阻抗保持开路,二次谐波阻抗沿史密斯圆图的R=0圈移动,而基础阻抗在相反的方向上移动。

 

2:连续F类工作模式理论阻抗曲线,显示基波、二次和三次谐波负载。

连续F类功放设计

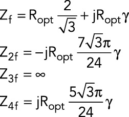
图2显示理想情况下,三次谐波阻抗为无限大;然而这是非常难以实现的并且实际设计中并不必要。本文描述了一种简单实用的方法来获得谐波阻抗。通过非线性器件输出电容CDS的作用,如Tutly等人9所述,使三次谐波高效率阻抗轨迹沿史密斯圆图的边缘移动。在二次谐波负载确定之后可以通过终端的谐波负载牵引来完成。应该注意γ= 0点的位置。这种三次谐波负载确定的方法保证了高效率BHPA设计。

从等式2可以看出,连续模式中第四个谐波阻抗也很重要;然而设计具有四次谐波控制的宽带连续F类功放非常困难,并且不可避免地需要非常复杂的电路。更可行的方法是忽略四次谐波阻抗。可以计算忽略Z4f对连续F类性能的影响。随参数γ变化,其结果如图3所示。在γ值变化范围内其效率降低小于4.5%。最大降低发生在γ=+1时,而这可以通过带宽限制来避免。

 

3:效率随γ的变化而下降。

带宽限制

应该限制目标带宽以避免与谐波带宽重叠。目标基频应该在f0-Δf/2和f0+Δf/2之间,并且第二和第三谐波可表示如下:

      (7)

如上所述忽略了对第四谐波的控制。根据等式7,当

        (8)

      (9)

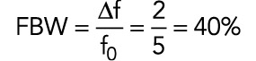
时,带宽发生混叠。等式8表示基波和二次谐波混叠的情况。等式9表示二次和三次谐波混叠的情况。对于三次谐波开路的理想连续F类功放来说,需要考虑等式8所示的基波和二次谐波的混叠。理想连续F类的相对带宽(FBW)为

    (10)

显而易见等式9的限制比等式8的限制更加严格。等式9的相对带宽是:

     (11)

负载阻抗与寄生参数

在使用封装的氮化镓器件的实际设计中,如这里所述,必须考虑寄生参数。Wolfspeed CGH40010F氮化镓器件的寄生模型如图4所示10

4Wolfspeed CGH40010F氮化镓晶体管的等效电路。

由于寄生效应的影响,连续F类功放的负载阻抗参考平面从理想电流源平面移动到封装平面。这形成了基本的阻抗区域和谐波阻抗区域。这些区域对应一系列解决方案。成功设计的关键是在宽频带中分别包含这些区域中的匹配负载阻抗。因此电压波形不严格遵循图1所示的变化。

输出匹配网络

在这种结构中,MRS用于谐波控制,而阶梯式阻抗变换器用于在特定频率范围内进行基波匹配。商业计算机辅助设计(CAD)软件用于更高精度地确定给定设备的谐波阻抗。用于连续F类设计的输出匹配网络如图5所示。

5:连续F类输出匹配网络布局。

 

6:径向短截线与矩形短截线的比较

如图6所示,径向短截线具有比矩形短截线更宽的带宽和更深的谐振。然而更重要的是四个径向短截线结构可以在宽带上实现恒定的0欧姆电阻。换句话说它形成一个独立于基本匹配网络的稳定结构。此谐波网络是将谐波负载与基波匹配分离的关键。此外上下径向短截线的结构方便制造,避免了当二次和三次谐波匹配短截线间距小时彼此相互重叠。

在1.95到2.65GHz的频带上的相应目标负载和输出匹配网络的特性(基波、二次谐波和三次谐波)如图7所示。显然二次和三次谐波分量符合设计要求。

 

7:连续F类输出匹配网络的阻抗,显示基波(Z1),二次(Z2)和三次(Z3)谐波分量。

BHPA的制造和测量

该设计是在εr=2.2,介质厚度为0.787mm,铜厚度为18μm的Rogers 5880基板上实现的(图8)。Wolfspeed CGH40010F氮化镓HEMT封装器件的漏极偏置为28V,其相应的静态漏极电流为168mA。大信号连续波(CW)功放参数从1.95测量到2.65GHz。图9中的结果显示了功放的输出功率、增益、漏极效率和PAE随频率变化的函数。该样品的输出功率为39.7至41.7dBm、峰值PAE为60%至79.9%、带宽为30.4%、工作频率从1.95到2.65GHz。最高的PAE是79.9%,但是在整个工作频带内保持这么高的PAE几乎是不可能的(较高工作频带的PAE下降到了60%)。

8:制造的BHPA

 

9BHPA的性能测试。

一个5MHz的WCDMA信号用来评估2.14GHz时线性度和相邻信道功率比(ACPR)。带有和不带有数字预失真(DPD)的BHPA输出频谱如图10所示。功放实现了32.1%的平均漏极效率和35.3dBm的输出功率。±5MHz偏移时ACPR为-32.8dBc和-32.7dBc,±10MHz偏移ACPR为-50.5dBc和-50.9dBc。在使用DPD后,ACPR在±5MHz偏移下显着提升至-49.7dBc和-48.6dBc,±10MHz偏移时显着提升至-59.0dBc和-55.6dBc。

 

105MHz WCDMA信号经过具有和不具有DPDBHPA的输出频谱。

结论

本文提出了一种由四路MRS谐波控制结构和阶梯式阻抗基波匹配结构组成的输出匹配网络新方法。这种方法为BHPA设计提供了一种简单方案。使用氮化镓HEMT在1.95GHz至2.65GHz的工作频带上实现了宽带高效功率放大器(BHPA)。其性能可以与表1所示的当前最先进的设计相媲美。分析表明,二次谐波匹配良好,利于高效率和输出功率。三次谐波阻抗匹配理论扩展到实际宽带设计,消除了固定的三次谐波负载(就像连续F类工作模式定义的)极难实现宽带的事实。测试结果表明,该结构可以在1.95至2.65GHz频段实现高效率和高功率增益。使用数字预失真(DPD)改善了其线性度。(译者:于斌)

参考文献

  1. P. Colantonio, F. Giannini, G. Leuzziand and E. Limiti, “On the Class-F Power Amplifier Design,” International Journal of RF and Microwave Computer-Aided Engineering, Vol. 9, No. 2, March 1999, pp. 129–149.
  2. Y. Y. Woo, Y. Yang and B. Kim, “Analysis and Experiments for High Efficiency Class-F and Inverse Class-F Power Amplifiers,” IEEE Transactions on Microwave Theory and Techniques, Vol. 54, No. 5, May 2006, pp. 1969–1974.
  3. P. Colantonio, F. Giannini and E. Limiti, High Efficiency RF and Microwave Solid State Power Amplifiers, John Wiley and Sons, 2009.
  4. D. Kang, J. Choi, M. Jun, D. Kim, J. Park, B. Jin, D. Yu, K. Min and B. Kim, “Broadband Class-F Amplifiers for Handset Applications,” Proceedings of the European Microwave Conference, September 2009, pp. 1547–1550.
  5. A. N. Stameroff and A. V. Pham, “Wide Bandwidth Inverse Class-F Power Amplifier With Novel Balun Harmonic Matching Network,” IEEE MTT-S International Microwave Symposium Digest, June 2012, pp. 1–3.
  6. A. Garcia-Osorio, J. R. Loo-Yau and J. A. Reynoso-Hernandez, “A GaN Class-F PA With 600 MHz Bandwidth and 62.5 Percent of PAE Suitable for WiMAX Frequencies,” IEEE International Microwave Workshop Series on RF Front-Ends for Software Defined and Cognitive Radio Solutions, February 2010, pp. 1–4.
  7. V. Carrubba, A. L. Clarke, M. Akmal, J. Lees, J. Benedikt, P. J.Tasker, S. C. Cripps, “The Continuous Class-F Mode Power Amplifier,” Proceedings of the European Microwave Conference, September 2010, pp. 432–435.
  8. S. C. Cripps, RF Power Amplifier for Wireless Communication, 2nd edition, Artech House, Norwood, MA, 2006.
  9. N. Tutly, L. Guan, A. Zhu and T. Brazil, “A Simplified Broadband Design Methodology for Linearized High-Efficiency Continuous Class-F Power Amplifiers,” IEEE Transactions on Microwave Theory and Techniques, Vol. 60, No. 6, June 2012, pp. 1952–1963.
  10. P. J. Tasker and J. Benedikt, “Waveform Inspired Models and the Harmonic Balance Emulator,” IEEE Microwave Magazine, Vol. 12, No. 2, April 2011, pp. 38–54.
  11. M. P. van der Heijden, M. Acar and J. S. Vromans, “A Compact 12-Watt High-Efficiency 2.1-2.7 GHz Class-E GaN HEMT Power Amplifier for Base Stations,” IEEE MTT-S International Microwave Symposium Digest, June 2009, pp. 657–660.
  12. N. Tuffy, A. Zhu and T. J. Brazil, “Class-J RF Power Amplifier with Wideband Harmonic Suppression,” IEEE MTT-S International Microwave Symposium Digest, June 2011, pp. 1–4.
  13. N. Tuffy, A. Zhu and T. J. Brazil, “Novel Realisation of a Broadband High-Efficiency Continuous Class-F Power Amplifier,” Proceedings of the European Microwave Integrated Circuits Conference, October 2011, pp. 120–123.

 


上一篇:设计最先进的模块化雷达测试系统 下一篇:无人机侦测和定位系统

版权声明:
《南宫国际28官网 》网站的一切内容及解释权皆归《南宫国际28官网 》杂志社版权所有, 未经书面同意不得转载,违者必究!
《南宫国际28官网 》杂志社。


友情链接
  首页 | 关于我们 | 联络我们 | 加入我们 | 服务条款 | 隐私声明
Copyright© 2026: ; All Rights Reserved.
粤公网安备 44030402004704号    备案序号:粤ICP备12025165号-4
Baidu
map